Redbird Resource Page

Here are a few documents to help you figure it all out. Click for the big version. These are plenty big enough to read, but your browser may not show you that. Download them. Special Thanks to Heiko Kraatz of www.Bandit-Trans-Am.de for many of these scans.

Paint Codes


1978 Exterior

Another version of 1978 Exterior

1978 Paint Code Update for PPG

1978 Interior

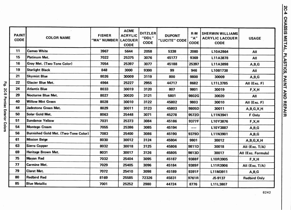
1979 Exterior

Another version of 1979 Exterior

1979 Interior
A word on interior colors: There is a flat and semi-gloss listed. The flat is obviously used on the top of the dash, but I wasn't really sure if it was used elsewhere. Recently, in a set of Rinshed-mason paint chips, I found the following statements:
FLAT (SUEDE) COLORS
USED ON: Upper Instrument Panel, Radio Speaker Grille, Glove Box Door, Package Shelf and Valance, Rear Window Defogger Grille.
SEMI GLOSS COLORS
USED ON: Garnish Molding, Roof Rails, Windshield Pillars, Steering Column Jackets, Floor Console.

Decal Information


1979 Redbird Stripe Placement

(there are no instructions for 78 Skybirds or Redbirds)


Bird decals are being produced by both
Stencils and Stripes and Phoenix Graphix

Redbird Stripe Part Numbers (courtesy Heiko Kraatz)

1978

The 1978 diagrams contain Skybird part numbers, so I'll have to work up a table of 78 Redbird part numbers before I post those.

1979


Illustration

Parts List

Redbird Build Sheets


1979, Joe's

1979, from Junkyard

1979, from Walt Amante

1979, from David Fillinger

1978, from Ron Wilson

Check out the written
note on this sheet.

1979, from Cynthia Unger

Visit: David Fillinger's Redbird Page

Redbird Trim Tags

1979, Joe's

Transcription of a tag

ST 78 2FS87 L 190226 BDY
TR 74B A51W 72LW72U PT
04C C-8 146851
From Aero Appraisals,

showing the Roman Red code in 1978

Transcription of a tag

VIN #: 2T87L8L177XXX

ST 78 2FS87 L 246889 BDY
TR74N A51W72LW72U PNT
06B C 3 8 080784

From Phil Restivo, also Roman Red

From Ron Wilson's 78

Window Stickers

Ron Wilson was kind enough to send his in.